Euskadi será la cuarta comunidad por la cola en recibir la alta velocidad tras 23 años de obras
Para cuando el TAV entre en servicio en 2029, según asegura el Gobierno, habrán pasado más de 37 años desde el primer AVE que unió Madrid y Sevilla en 1992
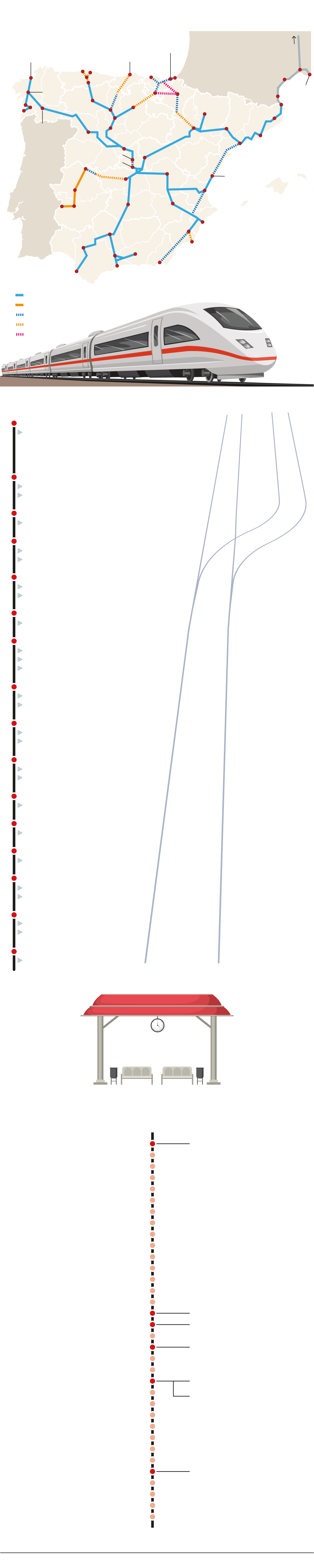
Galicia, Asturias, Castilla y León, Castilla La Mancha, Andalucía, Murcia, Comunidad Valenciana, Aragón y, por supuesto, Cataluña y Madrid. Son las diez comunidades autónomas, de ... las 15 peninsulares, que disponen de servicios de tren de alta velocidad. A estas se les sumará en breve Extremadura, donde ya están en pruebas los trenes que conectarán Plasencia, Cáceres, Mérida y Badajoz, si bien la conexión con Madrid no les llegará a los extremeños hasta 2029.
La misma fecha en la que, según aseguró el jueves el ministro de Transportes, Óscar Puente, el Tren de Alta Velocidad (TAV) entrará en servicio en Euskadi. Durante una visita a la estación de Atotxa en Donostia, Puente se comprometió a que la llamada Y vasca (por la forma que tiene el trazado desde Vitoria hacia Irun o Bilbao) esté operativa «antes de 2030», coincidiendo con la celebración del Mundial de fútbol, del que San Sebastián y Bilbao son sedes, y permitiendo que España cumpla su parte del compromiso europeo de que las redes básicas de diez corredores de transporte y comunicaciones comunitarios estén conectadas para ese año. En este caso será Francia la que no cumplirá y hará que persista el 'tapón' más allá de Irun.
De hacerse realidad ese pronóstico, habrán pasado más de 37 años desde que el primer AVE circulara entre Madrid y Sevilla el 21 de abril de 1992, coincidiendo con la Exposición Universal celebrada en la capital andaluza.

Evolución de la red
de alta velocidad española
Linea en servicio
Próxima puesta en servicio
En construcción
En desarrollo
En estudio
ENTRADA EN FUNCIONAMIENTO
DE LOS PRINCIPALES
TRAMOS AVE
1992:
Madrid-Sevilla. El 21 de abril se inaugura el primer servicio AVE en España, coincidiendo con la Expo de Sevilla. Con paradas en Ciudad Real, Puertollano y Córdoba
2003:
Madrid-Zaragoza-Lleida (11-X)
Zaragoza-Huesca (23-XII)
2005:
Madrid-Toledo (16-XI)
2006:
Córdoba-Antequera (17-XII)
Lleida-Tarragona (19-XII)
2007:
Madrid-Valladolid (22-XII)
Antequera-Málaga (23-XII)
2008:
Tarragona-Barcelona (20-II)
2010:
Cuenca-Albacete (15-XII)
Madrid-Albacete-Valencia (18-XII)
Figueres-Frontera Francesa-Perpignan (19-XII)
2011:
Santiago de Compostela-A Coruña (11-XII)
Santiago de Compostela-Orense (11-XII)
2013:
Barcelona-Girona-Figueres (9-I)
Albacete-Alicante (18-VI)
2015:
Santiago de Compostela-Pontevedra-Vigo (18-IV)
Valladolid-Palencia-León (30-IX)
2018:
Valencia-Castellón (22-I)
2019:
Antequera-Granada (26-VI)
2020:
Zamora-Sanabria (26-X)
2021:
Alicante-Orihuela (1-II)
Sanabria-Orense (21-XII
2022:
Venta de Baños-Burgos (22-VII)
Orihuela-Murcia (20-XII)
2023:
La Robla-Pola de Lena (29-XII)
ENTRADA EN FUNCIONAMIENTO
DE LAS RUTAS COMPLETAS
Madrid-Sevilla
1992
93
94
95
96
97
98
99
2000
01
02
03
04
05
06
Madrid-Málaga
2007
Madrid-Barcelona
2008
09
Madrid-Valencia
2010
11
12
Barcelona-Francia
2013
14
Madrid-Alicante
15
16
17
18
19
20
Madrid-Galicia
2021
22
23
24
2025
GRÁFICO:
F.J. BIENZOBAS

Evolución de la red
de alta velocidad española
Linea en servicio
Próxima puesta en servicio
En construcción
En desarrollo
En estudio
A Lyon
A Coruña
Figueras
León
Huesca
Vigo
Burgos
Zamora
Barcelona
Zaragoza
Madrid
Castellón
Valencia
Ciudad
Real
Alicante
Murcia
Granada
Sevilla
Cádiz
Málaga
ENTRADA EN FUNCIONAMIENTO
DE LOS PRINCIPALES
TRAMOS AVE
1992:
Madrid-Sevilla. El 21 de abril se inaugura el primer servicio AVE en España, coincidiendo con la Expo de Sevilla. Con paradas en Ciudad Real, Puertollano y Córdoba
2003:
Madrid-Zaragoza-Lleida (11-X)
Zaragoza-Huesca (23-XII)
2005:
Madrid-Toledo (16-XI)
2006:
Córdoba-Antequera (17-XII)
Lleida-Tarragona (19-XII)
2007:
Madrid-Valladolid (22-XII)
Antequera-Málaga (23-XII)
2008:
Tarragona-Barcelona (20-II)
2010:
Cuenca-Albacete (15-XII)
Madrid-Albacete-Valencia (18-XII)
Figueres-Frontera Francesa-Perpignan (19-XII)
2011:
Santiago de Compostela-A Coruña (11-XII)
Santiago de Compostela-Orense (11-XII)
2013:
Barcelona-Girona-Figueres (9-I)
Albacete-Alicante (18-VI)
2015:
Santiago de Compostela-Pontevedra-Vigo (18-IV)
Valladolid-Palencia-León (30-IX)
2018:
Valencia-Castellón (22-I)
2019:
Antequera-Granada (26-VI)
2020:
Zamora-Sanabria (26-X)
2021:
Alicante-Orihuela (1-II)
Sanabria-Orense (21-XII
2022:
Venta de Baños-Burgos (22-VII)
Orihuela-Murcia (20-XII)
2023:
La Robla-Pola de Lena (29-XII)
ENTRADA EN FUNCIONAMIENTO
DE LAS RUTAS COMPLETAS
Madrid-Sevilla
1992
93
94
95
96
97
98
99
2000
01
02
03
04
05
06
Madrid-Málaga
2007
Madrid-Barcelona
2008
09
Madrid-Valencia
2010
11
12
Barcelona-Francia
2013
14
Madrid-Alicante
15
16
17
18
19
20
Madrid-Galicia
2021
22
23
24
2025
GRÁFICO:
F.J. BIENZOBAS

Evolución de la red de alta velocidad española
A Lyon
San Sebastián
FRANCIA
Santander
A Coruña
Nimes
Avilés
Gijón
Bilbao
Béziers
Oviedo
Irun
Pola de Lena
Santiago de
Compostela
Marsella
Alar del Rey
Pamplona
Perpignan
Pontevedra
Burgos
Vitoria-Gasteiz
Figueras
Huesca
León
Castejón
Vigo
Lleida
Palencia
Girona
Ourense
Zaragoza
Valladolid
Barcelona
Zamora
Segovia
Tarragona
Madrid-Chamartín
Madrid-Atocha
Guadalajara
Plasencia
Castellón
de la Plana
Cuenca
PORTUGAL
Toledo
Cáceres
Valencia
Ciudad Real
Badajoz
Albacete
Mérida
Alicante
Murcia
Córdoba
Sevilla
Granada
Cartagena
Antequera
Almería
Málaga
Cádiz
Linea en servicio
Próxima puesta en servicio
En construcción
En desarrollo
En estudio
ENTRADA EN FUNCIONAMIENTO DE LOS PRINCIPALES TRAMOS AVE
1992:
Madrid-Sevilla. El 21 de abril se inaugura el primer servicio AVE en España, coincidiendo con la Expo de Sevilla. Con paradas en Ciudad Real, Puertollano y Córdoba
2003:
Madrid-Zaragoza-Lleida (11-X)
Zaragoza-Huesca (23-XII)
2005:
Madrid-Toledo (16-XI)
2006:
Córdoba-Antequera (17-XII)
Lleida-Tarragona (19-XII)
2007:
Madrid-Valladolid (22-XII)
Antequera-Málaga (23-XII)
2008:
Tarragona-Barcelona (20-II)
2010:
Cuenca-Albacete (15-XII)
Madrid-Albacete-Valencia (18-XII)
Figueres-Frontera Francesa-Perpignan (19-XII)
2011:
Santiago de Compostela-A Coruña (11-XII)
Santiago de Compostela-Orense (11-XII)
2013:
Barcelona-Girona-Figueres (9-I)
Albacete-Alicante (18-VI)
2015:
Santiago de Compostela-Pontevedra-Vigo (18-IV)
Valladolid-Palencia-León (30-IX)
2018:
Valencia-Castellón (22-I)
2019:
Antequera-Granada (26-VI)
2020:
Zamora-Sanabria (26-X)
2021:
Alicante-Orihuela (1-II)
Sanabria-Orense (21-XII
2022:
Venta de Baños-Burgos (22-VII)
Orihuela-Murcia (20-XII)
2023:
La Robla-Pola de Lena (29-XII)
ENTRADA EN FUNCIONAMIENTO
DE LAS RUTAS COMPLETAS
Madrid-Sevilla
1992
93
94
95
96
97
98
99
2000
01
02
03
04
05
06
Madrid-Málaga
2007
Madrid-Barcelona
2008
09
Madrid-Valencia
2010
11
12
Barcelona-Francia
2013
14
Madrid-Alicante
15
16
17
18
19
20
Madrid-Galicia
2021
22
23
24
2025
GRÁFICO: F.J. BIENZOBAS
Casi cuatro décadas después, España tiene la red de alta velocidad más amplia de Europa. Lo que sigue sorprendiendo es que entre los casi 4.000 kilómetros de vías desplegados (3.973 según la web de Adif) no figuren los que llevan hasta la frontera con Francia por el Atlántico, un corredor de transporte prioritario para la Unión Europea. Una circunstancia que hace que una región rica en lo económico, lo industrial y lo turístico como Euskadi, que además está ubicada en un punto estratégico de la Península, viaje en los vagones de cola del desarrollo de una infraestructura tan relevante desde el punto de vista social, empresarial y medioambiental como la alta velocidad ferroviaria.
Y es que una vez que Extremadura tenga su red AVE, solo quedarán por sumarse Euskadi y sus vecinas Navarra, La Rioja y Cantabria. Al menos, y sin que sirva de consuelo, el País Vasco será la primera de estas regiones postreras en disfrutar de los trenes de alta velocidad, ya que las otras tres deberán esperar todavía más.
No es solo que ya tengan servicios AVE la amplia mayoría de regiones. El despliegue realizado por España ha permitido conectar las ciudades principales, lo que apuntala aún más si cabe el sentimiento de abandono de la zona norte que, además, supone el punto de enlace entre el corredor atlántico (de Galicia a Euskadi) con el cantábrico-mediterráneo (Logroño-Pamplona-Zaragoza) y, desde este, con el mediterráneo.
Así, en Galicia tienen servicio de alta velocidad tres de sus cuatro capitales de provincia (todas excepto Lugo), además de Santiago de Compostela y Vigo. En Castilla y León, seis de nueve (faltan Salamanca, Ávila y Soria);en Castilla La Mancha, las cinco; en la Comunidad Valenciana, las tres; en Cataluña, sus cuatro capitales;en Aragón, dos de tres (falta Teruel)... La que más atrasada va en su despliegue geográfico es, casualmente, la primera en recibir los AVE. En Andalucía, tras las pioneras Córdoba, Sevilla y Málaga, la alta velocidad solo ha llegado por el momento a Granada, por lo que faltan Huelva, Cádiz, Jaén y Almería. Cuatro de ocho.
En total, de las 47 capitales de provincia peninsulares, el AVE llega a 29, que pronto serán 31 con Cáceres y Badajoz. Y se podría sumar Oviedo, puesto que aunque la línea de alta velocidad llega realmente hasta Pola de Lena, la apertura del túnel de Pajares a finales de 2023 ha conectado 'de facto' toda Asturias con la meseta en alta velocidad.
Desarrollo con altibajos
El despliegue de la red de alta velocidad en España ha sido un camino lleno de altibajos, marcado por las diferentes crisis económicas que han condicionado la capacidad de inversión, y los cambios en los gobiernos, tanto en el Estado como en las comunidades.
Así, tras la inauguración del AVEa Sevilla hubo que esperar más de diez años, hasta 2003, para asistir a otra apertura de línea, la de la conexión entre Madrid y Zaragoza y sus extensiones a Huesca y Lleida. Como ejemplo de los ritmos discontinuos que han marcado esta infraestructura, hubo que esperar otros cinco años, hasta 2008, para que esa línea llegase hasta Barcelona, uniendo de este modo las dos mayores ciudades del Estado 16 años después del primer Madrid-Sevilla.
En el caso de Euskadi, las obras comenzaron en 2006, por lo que cuando acaben habrán durado casi un cuarto de siglo, a lo que habrá que sumar el tiempo que lleve construir las estaciones de Bilbao y Vitoria, que no estarán listas para cuando circule en TAV, y el enlace con Navarra. Puente cifró en 4.500 millones de euros la inversión realizada hasta la fecha en Euskadi, que llegará hasta 9.000 millones con lo que resta: principalmente el nudo de Arkaute, las estaciones de Bilbao y Vitoria, y la conexión navarra.
¿Tienes una suscripción? Inicia sesión